মঙ্গলে সামার ভ্যাকেশন বিজন সাহা

গত ১২ এপ্রিল মানব জাতি পালন করল ইউরি গ্যাগারিনের মহাকাশ বিজয়ের ৬০ বছর। ১৯৬১ সালের এই দিনে সোভিয়েত কসমানাভত ইউরি আলেক্সেয়েভিচ গ্যাগারিন সাড়া বিশ্বকে তাক লাগিয়ে ১০৮ মিনিটের এক সংক্ষিপ্ত সফরে মহাকাশ যাত্রা করেন। মাত্র ১০৮ মিনিটের এই মহাকাশ ভ্রমণ পালটে দেয় মানব জাতির ইতিহাস – শুরু হয় নতুন যুগের।
এরপর আসে চন্দ্র বিজয়ের পালা। স্পুটনিক নিক্ষেপ ও মহাকাশে প্রথম মানব পাঠানোর দৌড়ে সোভিয়েত ইউনিয়ন জয়লাভ করলেও চাঁদের দেশে প্রথম অবতরণ করেন আমেরিকার নভোচারীদ্বয়। এর পরেও বেশ কয়েকটি মিশন পাঠানো হয় চাঁদে। তবে এক সময় চাঁদ বা অন্যান্য গ্রহের প্রতি মানুষের আগ্রহে ভাটা পড়ে। মানুষ এবার নজর দেয় দূর আকাশের দিকে। চন্দ্র, প্ল্যাঙ্ক ইত্যাদি টেলিস্কোপের সাহায্যে সংগ্রহ করতে থাকে দূর আকাশ থেকে আগত বিভিন্ন সিগন্যাল। বিশেষ করে মহাবিশ্বের ত্বরণায়িত প্রসারণ আবিষ্কারের পরে তার দৃষ্টি চলে যায় অন্য দিকে। তবে ইদানীং কালে সে আবার ফিরে আসছে চাঁদ আর মঙ্গলের কাছে। বিভিন্ন দেশ অদূর ভবিষ্যতে চাঁদ আর মঙ্গলে মিশন পাঠানোর কথা ঘোষণা করেছে। তাই ইউরি গ্যাগারিনের মহাকাশ বিজয় আবার নতুন আঙ্গিক পেয়েছে।
মহাকাশ যাত্রার কথা বলতে গেলে প্রথমেই যে কথাটা মাথায় আসে সেটা হল রকেট টেকনোলোজি। মানুষ বরাবরই আকাশ জয় করতে চেয়েছে। তাই সেই গ্রীক আখ্যানে আমরা পাই ইকারকে যে মম দিয়ে পাখির পালক জুড়ে নিজের জন্য পাখা তৈরি করে উড়তে চেয়েছিল। আধুনিক কালে জুল ভার্ণ আকাশে ওড়ার স্বপ্ন দেখেছেন আর রাইট ভ্রাতৃদ্বয় সেটাকে বাস্তবায়িত করেছেন। কিন্তু সেটা মহাকাশ বিজয় ছিল না। কিন্তু উড়োজাহাজের আবিষ্কার মানুষকে কানে কানে বলে দেয় যে মহাকাশ জয় এখন সময়ের ব্যাপার।
যে মানুষটি শুধু কল্পনায় নয়, মহাকাশ বিজয় যে এক বৈজ্ঞানিক সত্য হতে পারে সেটা বিশ্বাস করেছিলেন তাঁর নাম কনস্তান্তিন এদুয়ারদোভিচ ৎসিয়োলকোভস্কি। রুশ ও সোভিয়েত এই কল্পবিলাসী মানুষের জন্ম জারের রাশিয়ার রিজান গুবেরনিয়ার ইঝেভ শহরে ১৮৫৭ সালের ১৭ সেপ্টেম্বর। এই স্বশিক্ষিত বিজ্ঞানী ও আবিষ্কারক পেশায় ছিলেন স্কুল শিক্ষক। তাঁকে বলা যায় তত্ত্বীয় মহাকাশ ভ্রমণ বিদ্যার প্রতিষ্ঠাতা। তিনি রকেটের সাহায্যে মহাকাশ ভ্রমনের যৌক্তিকতা প্রমাণ করেন। অ্যারোনটিকস, রকেট গতিবিদ্যা ও মহাকাশ ভ্রমণ বিদ্যার উপর বেশ কিছু গুরুত্বপূর্ণ পেপারের লেখক কনস্তান্তিন এদুয়ারদোভিচ ৎসিয়োলকোভস্কি ১৯৩৫ সালের ১৯ সেপ্টেম্বর রুশ শহর কালুগায় মৃত্যু বরণ করেন।
মানুষ যখন মহাকাশে পাড়ি জমালো তখন আইনস্টাইনের আপেক্ষিক তত্ত্ব, কোয়ান্টাম মেকানিক্স – ফিজিক্সের এসব বিভাগ তখন খুব শক্ত ভিত্তির উপর দাঁড়িয়ে। প্রশ্ন আসতে পারে মহাকাশ বিজয়ের জন্য যে তাত্ত্বিক ভিত্তি দরকার সেটা কি বিজ্ঞানের এসব নতুন বিভাগের উপর নির্ভরশীল? উত্তর খুব সোজা। না, আমরা নিউটনের তত্ত্ব দিয়েই রকেট মহাকাশে পাঠাতে পারি, পাঠাই। মনে রাখতে হবে ছোটোখাটো অনেক প্রশ্ন থাকা সত্ত্বেও নিউটনের তত্ত্ব দীর্ঘ দিন বস্তুর গতি নিখুঁত ভাবে বর্ণনা করেছে। কিন্তু মাক্সওয়েল যখন তাঁর ইলেক্ট্রোডাইনামিক্সের সমীকরণ প্রকাশ করেন দেখা গেল সেটা কিছু কিছু ক্ষেত্রে নিউটনের তত্ত্বের সাথে সাংঘর্ষিক। মাক্সওয়েলের তত্ত্বে বিভিন্ন কণার গতিবেগ আলোর গতির সমান বা কাছাকাছি বিধায় এই ধরণের সংঘর্ষ দেখা দেয়। এই দুই তত্ত্বকে সামঞ্জস্যপূর্ণ করার জন্য আইনস্টাইন ১৯০৫ সালে আপেক্ষিকতার বিশেষ সূত্র প্রকাশ করেন। দেখা যায় যে বস্তুর গতি যদি আলোর গতির তুলনায় নগণ্য হয়, সেক্ষেত্রে আইনস্টাইনের তত্ত্ব নিউটনের তত্ত্বে রূপান্তরিত হয়। আইনস্টাইনের নতুন তত্ত্বে স্থান-কাল নিউটনের তত্ত্বের মত আর পরম কিছু নয়, সেটা আপেক্ষিক। শুধু তাই নয় স্থান-কাল ও বস্তু পরস্পররের বিবর্তনকে প্রভাবিত করে। পরবর্তীতে দেখা যায় আপেক্ষিকতার বিশেষ তত্ত্ব নিউটনের গতিবিদ্যার তত্ত্ব ও মাক্সওয়েলের তত্ত্বের মধ্যেকার অসামঞ্জস্য দূর করলেও সেটা নিউটনের মহাকর্ষ তত্ত্বের সাথে সাংঘর্ষিক। আর এই অসামঞ্জস্য দূর করার জন্য ১৯১৭ সালে আইনস্টাইন আপেক্ষিকতার সাধারণ তত্ত্ব প্রকাশ করেন।
এবার আমরা এস্কেপ ভেলসিটি নিয়ে কিছু কথা বলব। নিউটনের দ্বিতীয় সূত্র থেকে আমরা জানি যে কোন বস্তুর ত্বরণ তার উপর প্রযুক্ত বলের আনুপাতিক আর তার ভরের ব্যাস্তানুপাতিকঃ

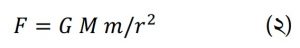
অন্যদিকে নিউটনের মহাকর্ষ বলের সূত্র থেকে আমরা জানি যেকোনো দুটো বস্তু পরস্পরকে যে বলে আকর্ষণ করে তা তাদের প্রত্যেকের ভরের সমানুপাতিক ও তাদের মধ্যকার দুরত্বের বর্গের ব্যস্তানুপাতিকঃ
![]()
এ থেকে আমরা দেখি বস্তুর ভর যত বেশি তার আকর্ষণ বলও তত বেশি। এখন কোন বস্তু যদি পৃথিবীর আকর্ষণের কারণে ত্বরণায়িত হয় তবে উপরের দুটো ফর্মুলা থেকে মাধ্যাকর্ষণ জনিত ত্বরণ

এখন কোন বস্তু যদি পৃথিবীপৃষ্ঠের খুব কাছে ঘুরতে শুরু করে যে পৃথিবীপৃষ্ঠ থেকে তার দূরত্ব পৃথিবীর ব্যাসার্ধ এর তুলনায় নগণ্য হয়, তবে সেই বস্তুর গতিপথ হবে বৃত্তাকার। বৃত্তাকার পথে ঘুরন্ত কোন বস্তু যদি সময়ে কেন্দ্রের চতুর্দিকে একবার ঘুরে আসে, মানে চার সমকোণ অতিক্রম করে তবে তার কৌণিক বেগ

আর যেহেতু এই T সময় সে বৃত্তের পরিসীমার সমান পথ পাড়ি দেয় তাই তার রৈখিক বেগ

আর বৃত্তাকার পথে ঘূর্ণিয়মাণ বস্তুর ত্বরণ
![]()
নিউটনের দ্বিতীয় সূত্রে মহাকর্ষীয় বল (২) ও ত্বরণ (৬) ব্যবহার করলে আমরা পাই
![]()
উপরের সমীকরনের মাধ্যমে প্রাপ্ত বেগকে বলে প্রথম এস্কেপ ভেলোসিটি। পৃথিবীর জন্য এর মাণ ৭.৯১ কিমি/সেকেণ্ড। এই বেগে চলে বস্তু পৃথিবীর কৃত্রিম উপগ্রহে পরিণত হয় এবং পৃথিবীর চারিদিকে বৃত্তাকার পথে ঘুরতে থাকে।
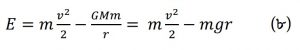
দ্বিতীয় এস্কেপ ভেলোসিটিতে চলে বস্তু পৃথিবীর আকর্ষণ বলকে অতিক্রম করতে পারে। সেক্ষেত্রে বস্তু উপবৃত্ত পথে চলে। ফলে সেই বস্তুর পৃথিবী থেকে অসীম দূরত্বে চলে যাওয়ার সম্ভাবনা দেখা দেয়। দ্বিতীয় এস্কেপ ভেলোসিটি আমরা এর পূর্ণ শক্তি থেকে পেতে পারি।
আমরা জানি কোন বস্তুর পূর্ণ শক্তি (total energy) তার গতি শক্তি ও স্থিতি শক্তির সমষ্টির সমান

এখানে প্রথম টার্ম রকেটের গতি শক্তি আর দ্বিতীয় টার্ম পৃথিবীর আকর্ষণ শক্তি বা পটেনশিয়াল ফিল্ড। যদি পৃথিবীর আকর্ষণ শক্তি রকেটের গতি শক্তির চেয়ে বেশি হয় তবে রকেট পৃথিবীর আকর্ষণ কাটিয়ে বাইরে যেতে পারে না। যদি গতি শক্তি পৃথিবীর আকর্ষণ শক্তির সমান হয় তবে পূর্ণ শক্তির পরিমাণ হবে শূন্য। এক্ষেত্রে রকেটের ন্যুনতম বেগ হতে হবে
![]()
এটাই হল দ্বিতীয় এস্কেপ ভেলোসিটি। পৃথিবীর ক্ষেত্রে এই বেগের মাণ ১১.২ কিমি/সেকেণ্ড। এই বেগে ধাবমান বস্তু পৃথিবীর আকর্ষণ কাটিয়ে চাঁদ বা সৌর জগতের অন্যান্য গ্রহে পাড়ি দিতে পারে। সেদিক থেকে চাঁদে যাওয়া আর মঙ্গল, শুক্র, বৃহস্পতি, শনি বা অন্য গ্রহে যাওয়ার মধ্যে কোন পার্থক্য নেই। তবে বৃহস্পতি, শনি, ইউরেনাস বা নেপচুনের ভর পৃথিবীর চেয়ে অনেক বেশি বিধায় সেসব গ্রহের দ্বিতীয় এস্কেপ ভেলোসিটি পৃথিবীর তুলনায় বেশি (যথাক্রমে ৫৯.৫, ৩৫.৫, ২১.৩ ও ২৩.৫ কিমি/সেকেণ্ড) ফলে সেসব গ্রহ থেকে ফিরে আসা থেকে ফিরে আসা সম্ভব হবে না। তবে চাঁদ, বুধ, শুক্র বা মঙ্গল, যাদের ভর পৃথিবীর ভরের চেয়ে কম, সেসব উপগ্রহ ও গ্রহের দ্বিতীয় এস্কেপ ভেলোসিটি পৃথিবীর তুলনায় কম (যথাক্রমে ২.৪, ৪.৩, ১০.৪ ও ৫ কিমি/সেকেণ্ড) তাই এসব উপগ্রহ বা গ্রহ থেকে সে অনায়াসেই ফিরে আসতে পারে। অর্থাৎ পৃথিবীর চেয়ে ভারী গ্রহের টিকেট যদি ওয়ান হয়ে হয়, হালকা গ্রহ উপগ্রহের ক্ষেত্রে আমরা আপ ডাউন টিকেট হাতে নিয়েই সেখানে যেতে পারি। পৃথিবীতে কোন বস্তুর বেগ যদি ১৬.৬ কিমি/সেকেণ্ড হয় তবে সে সূর্যের মাধ্যাকর্ষণ কাটিয়ে সৌরজগতের বাইরে চলে যেতে পারে। একে বলে তৃতীয় এস্কেপ ভেলোসিটি। এটার কক্ষপথও উপবৃত্তাকার। উল্লেখ্য, সৌরজগতের ভরের প্রায় ৯৯.৮% সূর্যের ভর। তাই সৌরজগতের আকর্ষণ মূলত সূর্যের আকর্ষণ। উল্লেখ করা যেতে পারে যে সূর্যের দ্বিতীয় এস্কেপ ভেলোসিটি ৬১৮.১ কিমি/সেকেণ্ড, তাই সৌরজগত ত্যাগের জন্য বস্তুর তৃতীয় এস্কেপ ভেলোসিটি নির্ভর করবে সে ঠিক কোন জায়গা থেকে যাত্রা শুরু করেছে। তাছাড়া চতুর্থ এস্কেপ ভেলোসিটি নামে আরেকটা বেগ আছে যা কিনা বস্তুকে আমাদের গ্যালাক্সি ত্যাগ করতে দেয়। সেটার মাণ হল ৫৫০ কিমি/সেকেণ্ড। যেহেতু এসব বেগই আলোর বেগের তুলনায় নগণ্য, তাই সব ক্ষেত্রেই নিউটনের সূত্রই প্রযোজ্য।
(২) নং সমীকরণ থেকে আমরা দেখি বস্তুর ভর যত বেশি তার প্রতি আকর্ষণ বল তত বেশি আর এই আকর্ষণ কাটিয়ে উঠতে বেশি শক্তি বা জ্বালানি দরকার। যার ফলে দেখা যায় কোন কৃত্রিম উপগ্রহ মহাশূন্যে পাঠাতে পৃথিবী থেকে যে মহাশূন্য যান রওনা হয় তার বেশির ভাগই এই জ্বালানি। এই জ্বালানির বেশির ভাগই খরচ হয় পৃথিবীপৃষ্ঠ ত্যাগ করার সময়। রকেটে না চড়েও এ ব্যাপারটা আমরা বুঝতে পারি বিমান যাত্রার সময়, যখন মূল শক্তিটা লাগে টেক অফের সময় আর তারপর বিমানের গতি হয় অনেক স্মুথ। যেহেতু পৃথিবীর মাধ্যাকর্ষণ বলয় থেকে বের হয়ে গেলে মহাকাশ যান বলতে গেলে মাধ্যাকর্ষণ, বায়ুর বাধা ইত্যাদি কোন রকম প্রতিদ্বন্দ্বী বলের সম্মুখীন হয়না, ফলে তুলনামুলক ভাবে কম জ্বালানি ব্যবহার করেই সে চলতে পারে আর এক্ষেত্রে কাজ করে নিউটনের তৃতীয় সূত্র, অর্থাৎ রকেট জ্বালানি পোড়ার ফলে যে শক্তি ধোঁয়ার আকারে বেরিয়ে যায় সেটাই মহাকাশ যানকে সামনের দিকে ঠেলে নিয়ে যায়। তবে নিউটনের সূত্র ব্যবহার করে মহাকাশে শুধু মহকাশ যানই পাঠানো যায়। মহাকাশ সম্পর্কে বিভিন্ন তথ্য জানার জন্য আমাদের বিভিন্ন রকমের আধুনিক ডিভাইস দরকার যা কিনা কোয়ান্টাম তত্ত্বকে ব্যবহার করেই তৈরি করা সম্ভব।
উপরে বর্ণিত ঘটনাবলী বোঝার জন্য এরকম একটা উদাহরণ দেওয়া যেতে পারে। যদিও সেটা ওয়ান টু ওয়ান অ্যানালগ নয় তবুও ঘটনাগুলো বুঝতে সহায়ক হবে। ছোটবেলায় আমরা সবাই ঘূর্ণিপাক খেয়েছি। খেলাটা হল দুজন দুজনের হাত ধরে ঘুরতে থাকা। যদি দুজনের ভর একই হয় তবে এই ঘূর্ণনের কেন্দ্র হয় দুজনের ঠিক মাঝখানে। এই বিন্দুকে বলে ভরকেন্দ্র। যদি দুজনের ভর ভিন্ন হয় তবে ভরকেন্দ্র যে বেশি ভারী তার কাছাকাছি চলে আসে। উদাহরণস্বরূপ বলা যায় পৃথিবী ও চাঁদের কথা। যদি এদের একটা অদৃশ্য রেখা দিয়ে যোগ করা হয় তবে ভরের তারতম্যের কারণে দেখা যায় এই ভরকেন্দ্র ভূপৃষ্ঠ থেকে ২০০০ কিলোমিটার দূরে যদিও পৃথিবী এবং চাঁদের মধ্যেকার দূরত্ব ৩৮০০০ কিলোমিটার। তাই আমরা যখন বলি চাঁদ পৃথিবীর চারিদিকে ঘুরছে সেটা ১০০% সঠিক নয়, তারা উভয়েই এই ভরকেন্দ্রের চারিদিকে ঘুরছে। ভরকেন্দ্র পৃথিবীর নিকটবর্তী বলে মনে হয় চাঁদই আসলে পৃথিবীর চারিদিকে ঘুরছে। একই কথা বলা চলে সূর্যের চারিদিকে অন্যান্য গ্রহের ঘূর্ণনের ব্যাপারে। সৌর জগতের ৯৯.৮% ভর সূর্যের বিধায় আমাদের মনে হয় সব গ্রহই সূর্যের চারিদিকে ঘুরছে, বাস্তবে যদিও সমস্ত গ্রহ এবং সূর্য নিজেও সৌর জগতের ভরকেন্দ্রের চারিদিকে ঘুরছে। যাহোক, ফিরে আসি আবার ছোট বেলায়। যে দুজন লোক একে অন্যের হাত ধরে ঘুরছে তাদের একজন যদি অন্যের তুলনায় যথেষ্ট ভারী হয় এবং ঘূর্ণনের বেগ একটা নির্দিষ্ট মাত্রা অতিক্রম করে তবে অপেক্ষাকৃত হালকা জনের পা মাটি থেকে উঠে যায়, মনে হয় ভারী লোকটা যেন হালকা জনকে ঘোরাচ্ছে। কিন্তু এই বেগ বাড়তে বাড়তে যদি নতুন এক মাত্রা অতিক্রম করে তবে হাত ছুটে যায় আর হালকা লোকটা দূরে ছিটকে পড়ে।
দুবনা, ১৯ মে ২০২১
বিজন সাহা – গবেষক ও শিক্ষক
জয়েন্ট ইনস্টিটিউট ফোর নিউক্লিয়ার রিসার্চ, দুবনা, রাশিয়া
গণ মৈত্রী বিশ্ববিদ্যালয়, মস্কো, রাশিয়া
